The rationality of radical pair mechanism in real biological systems
Xiaoyu Chen, Haibin Liu, Jianming Cai, arXiv:2512.05974
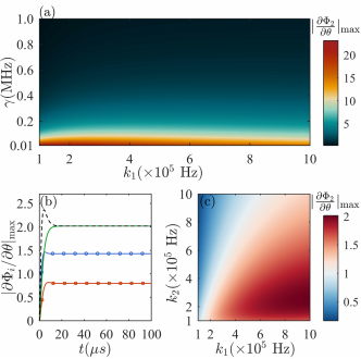
The radical pair mechanism (RPM) in the chemical magnetic compass model is considered to be one of the most promising candidates for the avian magnetic navigation, and quantum needle phenomenon further boosts the navigation precision to a new high level. It is well known that there are also a variety of methods in the field of magnetic field sensing in laboratory, e.g. Ramsey protocol of NV centers in diamond. Here, we compare the RPM model and Ramsey-like model under laboratory conditions and under in vivo conditions respectively. The results are both surprising and reasonable. Under laboratory conditions, if we have precise control over time and a reasonably accurate prior knowledge of the magnetic field direction, the Ramsey-like model will outperform the RPM model. However, when such information is unavailable, as under in vivo conditions, the RPM model stands out. The RPM model achieves greater practicality at the cost of reduced accuracy.
